ÚLTIMAS NOTÍCIAS
Prefeitura inicia inspeção anual de 7,2 mil táxis

Fotos: Jefferson Peixoto/Secom
O movimento foi intenso na sede da Coordenadoria de Transportes Especiais (Cotae), no Vale dos Barris, nesta segunda-feira (5), primeiro dia da inspeção anual de táxi para renovação do alvará de circulação em Salvador. A Prefeitura, por meio da Secretaria de Mobilidade (Semob), alerta que todos os 7,2 mil veículos cadastrados para serviços de táxi devem passar pelo procedimento obrigatório.
O valor da inspeção é de R$ 81,79, e aquele que não se apresentar na data marcada pagará multa de R$ 32,95. O cumprimento da medida vai até dezembro, seguindo o fluxo do cronograma montado segundo o número do alvará de cada veículo. A expectativa é que sejam vistoriados, por dia, uma média de 100 veículos. O serviço está disponível de segunda à sexta-feira, das 7h30 às 11h30 e das 13h às 16h30.
Os taxistas devem apresentar certificado da última aferição, cartão de identificação, selo GNV, pagamento da contribuição sindical, licenciamento atualizado e licença de veiculação do Engenho de Publicidade em Táxi. Além da documentação exigida para que o táxi possa circular na cidade, os permissionários têm que levar documentos pessoais como comprovante de residência, carteira de identidade e de habilitação. As equipes de inspeção verificam quesitos relacionados a padronização, a exemplo das faixas coloridas laterais, estado de conservação do automóvel, pneus e itens de segurança como triângulo, chave de roda e estepe.
Taxista há 16 anos, Delson Rocha, 39 anos, afirmou que sempre cumpre o prazo por entender a importância da inspeção. “Venho sempre na data certinha. Todo carro de transporte de pessoas precisa ser vistoriado. Temos que andar em conformidade com a lei e assim faço todo ano”, disse ele enquanto apresentava a documentação do seu veículo. As condições do taxímetro também são avaliadas pelo Instituto Baiano de Metrologia e Qualidade (Ibametro). O aparelho que contabiliza o valor da corrida precisa estar em conformidade com as normas estabelecidas. Depois de toda a verificação do veículo e documentação, a Prefeitura emite um selo de qualidade, atestando que o carro corresponde aos critérios exigidos pelas legislações municipal, estadual e federal.
Dentro da lei – Após apresentar todos os documentos e submeter o veículo a vistoria dos equipamentos de segurança, o taxista David Trindade, 21 anos, foi aprovado e teve o selo afixado. O jovem novato na praça diz que é sempre muito cuidadoso com o carro, assim como com a documentação. “Levamos pessoas, conduzimos passageiros. É uma obrigação nossa seguir em dia. É uma garantia de segurança para quem pega nosso carro para uma corrida”, afirmou ele, que atua como taxista há dois anos.
Em cumprimento ao Termo de Ajustamento de Conduta (TAC) com o Ministério Público do Estado, a Semob realiza vistoria em carros com até oito anos de fabricação. A medida terá validade até que seja apreciado o projeto de lei, em tramitação na Câmara Municipal de Salvador, que altera a idade média da frota de táxi de cinco para oito anos.
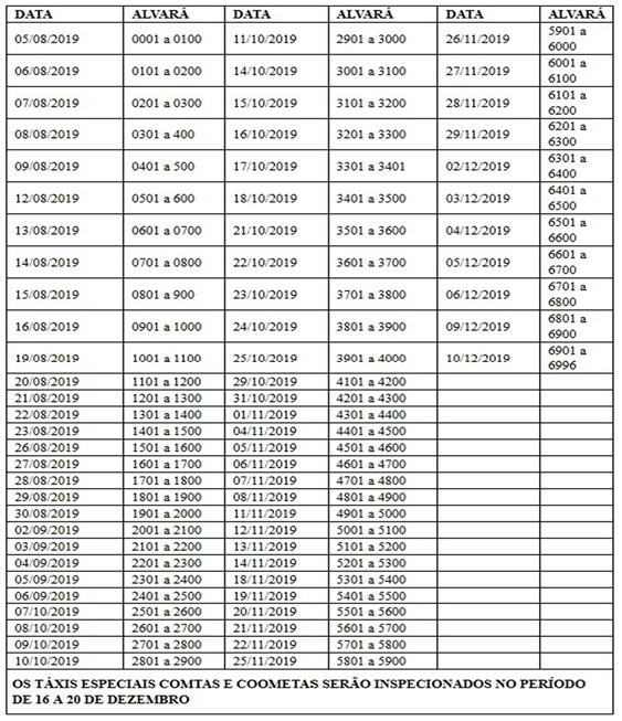
Confira o número do seu alvará e a data para inspeção:



